Wersja nieobowiązująca z dnia

Protokół z XIX sesji z dnia 23.02.17

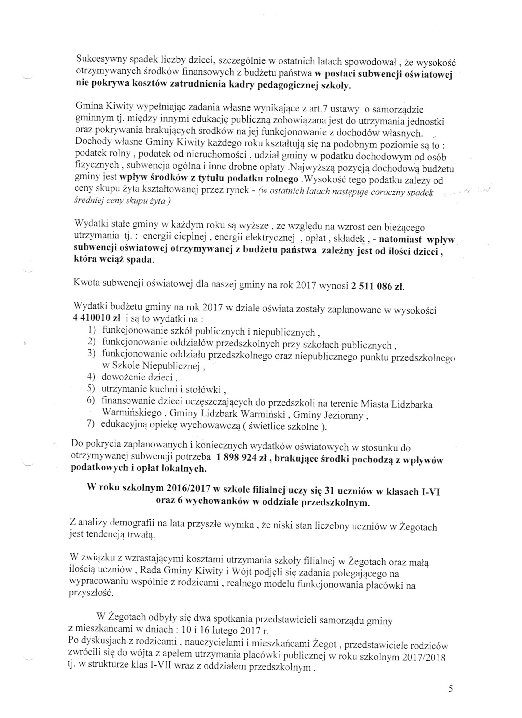
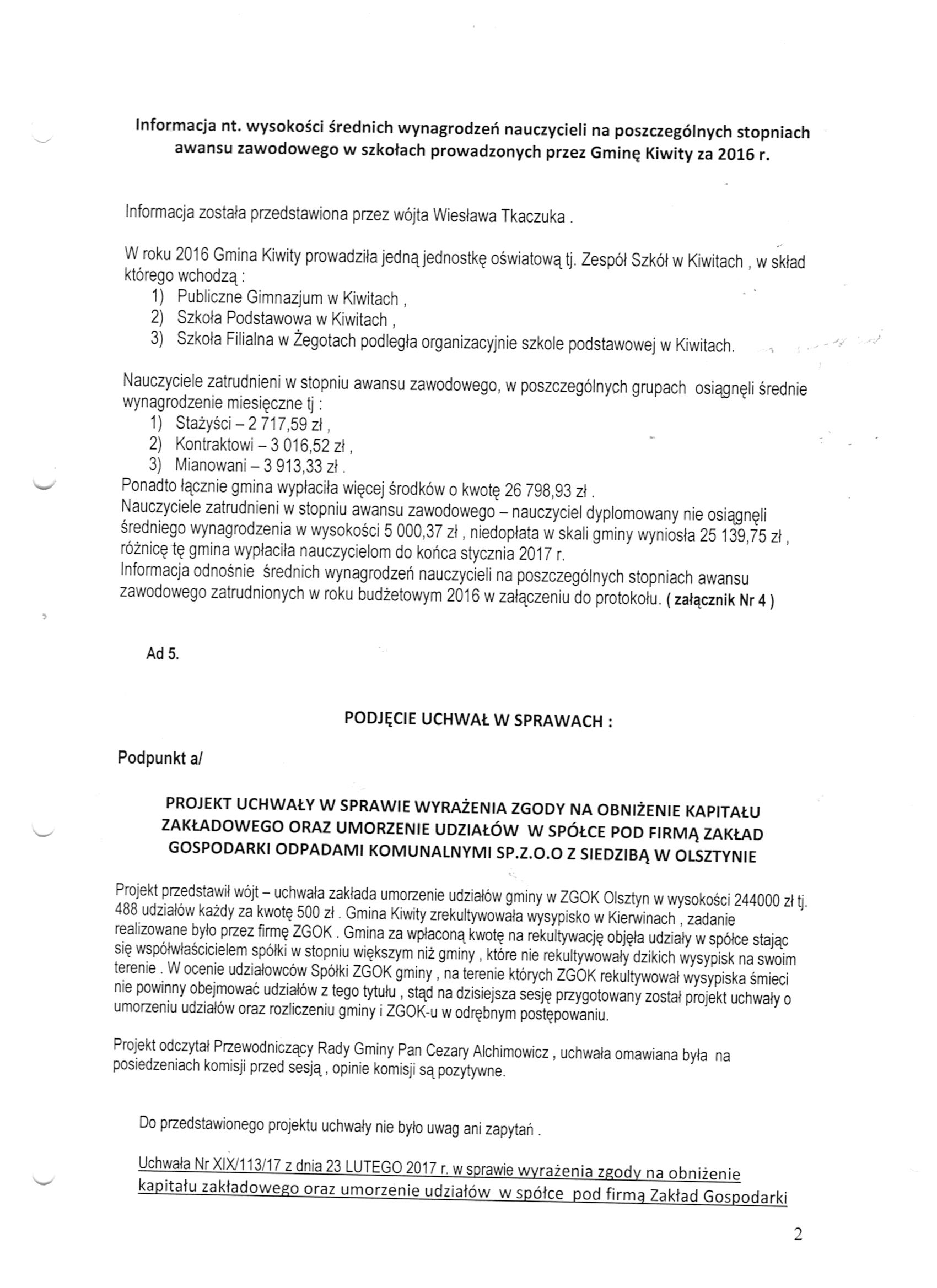
Protokół z XIX sesji z dnia 23.02.17 dostępny w załączeniu.

Załączniki

  • 1
    format: image/jpeg, rozmiar: 287.5 KB, data dodania:
  • 2
    format: image/jpeg, rozmiar: 356.51 KB, data dodania:
  • 3
    format: image/jpeg, rozmiar: 313.43 KB, data dodania:
  • 4
    format: image/jpeg, rozmiar: 399.28 KB, data dodania:
  • 5
    format: image/jpeg, rozmiar: 402.1 KB, data dodania:
  • 6
    format: image/jpeg, rozmiar: 317.55 KB, data dodania:
  • 7
    format: image/jpeg, rozmiar: 377.78 KB, data dodania:
  • 8
    format: image/jpeg, rozmiar: 302.64 KB, data dodania:
  • 9
    format: image/jpeg, rozmiar: 214.65 KB, data dodania:

Wersja nieobowiązująca

Strona może zawierać nieaktualną treść i załączniki. Możesz pozostać na tej stronie lub przejść na wersję z obowiązującą zawartością.